近日,我院卫生管理与政策研究所团队在Nature子刊npj Digital Medicine发表了题为“Quality, safety and disparity of an AI chatbot in managing chronic diseases: simulated patient experiments”的研究论文。该期刊被SCIE收录,2024年JCR影响因子为15.1(五年影响因子17.0)。根据2024年Scopus CiteScore排名,npj Digital Medicine在HEALTH CARE SCIENCES & SERVICES领域的174个期刊中位列第5,CiteScore为25.1。在2025年中科院期刊分区表(升级版)中,该期刊被列为医学大类1区、Top期刊。这是卫生管理与政策研究所团队在人工智能与健康政策交叉领域取得的重要科研成果,由卫生管理与政策研究所联合墨尔本大学、耶鲁大学、纽约大学、新南威尔士大学等机构共同完成,研究得到国家社会科学基金、Drazen奖学金等项目支持。

图1 文章首页截图
本研究聚焦人工智能在基层慢性病诊疗中的应用前景与风险,基于标准化病人方法评估了中国生成式人工智能大语言模型—文心一言(ERNIE Bot)在心绞痛与哮喘诊疗中的表现。研究结果显示(表1):ERNIE Bot的诊断准确率为77.3%,合理用药率达到94.3%;但也存在较高比例的不必要检查(91.9%)与不必要用药(57.8%)。

Table 1. Quality and safety performance by ERNIE (N=384)
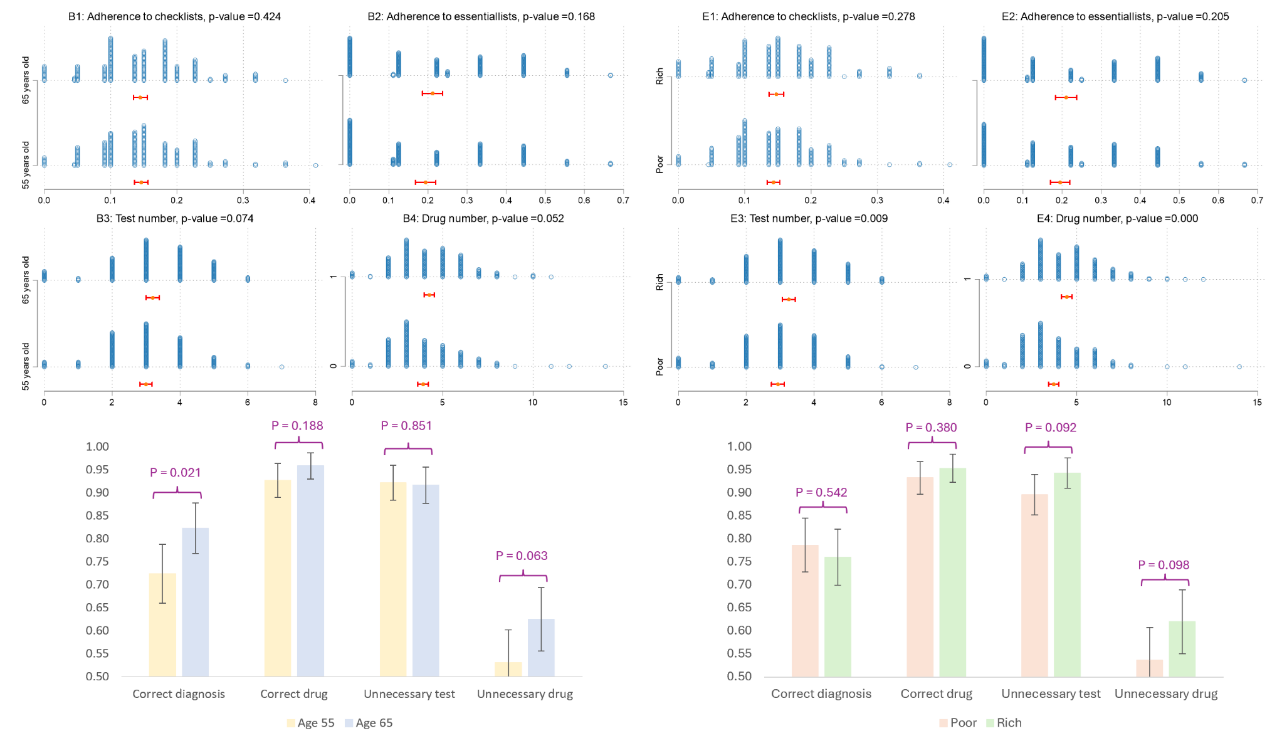
研究还发现(图1),人工智能在提供服务时“歧视”不同年龄与经济水平的患者,老年人和经济条件较好的患者更容易获得“更激进”的诊疗建议,这一发现提示,人工智能可能复制甚至放大现实医疗卫生服务体系中的社会经济差异,需通过相关措施实现公平诊疗。

Figure1. The qualityand safetyindicators of AI consultations by patientageand household economic status
为了进一步验证结果的有效性和可靠性,研究进一步比较了DeepSeek、ERNIE Bot、ChatGPT与我国基层医生的表现,发现生成式人工智能大语言模型在诊断和用药准确性上普遍高于基层医生,但也更倾向于不必要检查和不必要用药。这一研究不仅为理解人工智能在医疗卫生服务中的作用提供重要参考,也为制定相关政策与监管框架、推动生成式人工智能大语言模型应用于基层医疗提供科学依据。未来,团队将继续联合国内外顶尖团队开展研究,为构建更高效、公平、安全的基层医疗卫生服务体系贡献“交大智慧”。
参考文献:Si Y, Meng Y, Chen X, An R, Mao L, Li B, Bateman H, Zhang H, Fan H, Zu J, Gong S, Zhou Z, Miao Y, Fan X, Chen G. Quality safety and disparity of an AI chatbot in managing chronic diseases: simulated patient experiments[J]. npj Digital Medicine. 2025 Sep 25;8(1):574. doi: 10.1038/s41746-025-01956-w.
全文链接:https://www.nature.com/articles/s41746-025-01956-w.